Implementing Re-Ordering at the Database Level: Our Experience
Robert Cooper
Robert Cooper Senior Engineer at Basedash
· March 10, 2023
Robert Cooper
Robert Cooper Senior Engineer at Basedash
· March 10, 2023
We recently implemented a long-requested feature in Basedash: the ability to re-order pages in the sidebar. The biggest challenge was figuring out how to save the order in our database and how we were going to update that order value when a user re-orders the page in the sidebar.

We had two requirements for re-ordering pages in the sidebar:
In the sidebar, pages are grouped by Team and then can be further classified in sections. This image shows 3 sections (Apps, Docks, and Users) within the Everyone team.

We tried out two different implementations for how we manage the order of pages.
Initially, we opted to go with the most obvious approach which was to add an order column to our Page table that would contain the index of the page within a section.
model Page {
id Int
sectionId Int
order Int
}
Here’s a look at how the page order value would look like for sidebar items:

This implementation proved to be difficult to work with because when you re-order a page, you cannot simply change the order value for a single page in the database, but rather you must update the order of multiple pages so that there are no gaps between numbers.
You can imagine that if I were to move a page with an order of 0 to an order of 2, I would need to write a database query that looks like the following:
UPDATE "Page" SET order = order - 1 WHERE order > 0 AND order <= 2 AND "sectionId" = XXX;
UPDATE "PAGE" SET order = 2 WHERE id = XXX;
The SQL is slightly different if having to move a page from order 2 to order 0.
UPDATE "Page" SET order = order + 1 WHERE order >= 0 AND order < 2 AND "sectionId" = XXX;
UPDATE "PAGE" SET order = 0 WHERE id = XXX;
The above is only if you consider a page moving to a different order within the same section. Things get more complicated when you considered that pages could be moved to a different section because then you would need to update all the pages in two different sections.
These update statements are also not performant—every reorder causes multiple records to be updated, sometimes requiring every page in a section to be updated. Even worse, we have an index on the order column, which means that updates are even slower.
We had also added a database level constraints to make sure there can only be a unique combination of sectionId and order to make sure there cannot be the same order for a page in a given section, but ran into many edge cases where we were trying to set the same order for a given section. We also found out that null values in postgres are treated as unique, which means that if one row has a sectionId of null and and order of 1 and another row has the same value for sectionId being null and order being 1, the unique constraint between sectionId and order will pass because one null value compared to another null is seen as different.
So as you can see, this approach was complicated and it proved hard to get to work properly.
The implementation we decided to ultimately use implements floating point numbers for the order in the database.
model Page {
id Int
sectionId Int
order Float
}
Using floating point values for the order in the database allows us to move a page between two other pages and determine the new order value by averaging the order values for the surrounding pages. This means that we only need to update a single record: the one being moved.
As an example, if we were to insert a page between one that has an order of 1 and 2, then the inserted page would have an order of 1.5 (1 + 2 / 2)
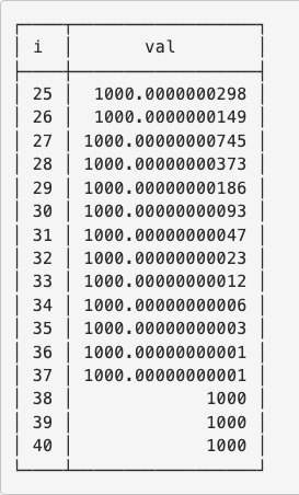
One thing to be aware with this approach is that because floating point numbers have limited precision, we will eventually hit a floating point rounding situation, which will give us an incorrect value for the order. As an example, if we had a page with order of 1000 and another page with order of 1001 and repeatedly kept moving pages to the position right after the page with order of 1000, we would run into issues on the 38th iteration due to floating point rounding.

Number of iterations before floating point rounding occurs when starting with an order of 1000 and 1001 (source: https://begriffs.com/posts/2018-03-20-user-defined-order.html).
38 iterations is still a lot and it seems unlikely in Basedash’s case that someone will repeatedly try to move a pages in such a way that this threshold will be reached, so we aren’t too concerned with the approach. If we wanted to resolve this, we could occasionally “re-balance” the order values, aligning them along a single order of magnitude.
To walk through the flow from front-end to back-end, it looks like this:
4 to the position between pages 1 and 2order of 1.5order of 1.5order of 1.5This is a nice and straightforward approach that doesn’t involve having to update the order of many pages when moving a single page (like the initial implementation required).
According to this article, an even more robust approach than the floating point method described above is to store “true fractions” in your database. Read the article if you’d like to find out how to do it. It requires installing an Postgres extension to get a new column type, but it seems like you can go have many more orders of magnitudes more list re-order operations before you run into any sort of rounding issues.
We used the dnd-kit library to handle the drag and drop re-ordering. Native drag & drop APIs are a nightmare to work with, so using a library like dnd-kit is almost necessary in my opinion. I’m not going to get into the nitty gritty of how we put together the parts of dnd-kit to form the drag & drop behaviour since the code is fairly complex. The code complexity is because there is a lot going on with drag & drop re-ordering, such as:
<DragOverlay>page entity in the global store with an updated orderorder value should be used and all the possible edge cases (e.g. what if moving a page to the end/beginning of a list?)I have a much greater appreciation for the effort it takes to incorporate ordering capabilities into an app now. If anyone knows of a simpler way that this could have been implemented, I’d be curious to hear. You can reach out to me on Twitter @RobertCooper_RC.
Learn about the challenges faced by Basedash in implementing re-ordering at the database level, and the solutions they tried out. Discover how they ultimately used floating point numbers to move a page between two other pages, and the possible improvements to ordering at the database level.
Implementing Re-Ordering at the Database Level: Our Experience
Discover Basedash’s experience in implementing re-ordering at the database level, the challenges they faced, and the solutions they tried out. Learn how they ultimately used floating point numbers to move a page between two other pages, and the possible improvements to ordering at the database level.
Written by
Senior Engineer at Basedash
Robert Cooper is a senior engineer at Basedash who builds full-stack product systems across SQL data infrastructure, APIs, and frontend architecture. His work focuses on application performance, developer velocity, and reliable self-hosted workflows that make data operations easier for teams at scale.
Basedash lets you build charts, dashboards, and reports in seconds using all your data.